16 January 2021
Principle
The absolute gravimeter is based on atom interferometry techniques applied to cold atoms. First, a few 108 atoms are captured in a magneto-optical trap. They are cooled down to microKelvin temperatures before being released. During their free fall, they experience a sequence of three laser pulses, that split and recombine the atomic wavepackets. Finally, the phase difference between the two arms of the interferometer, that is proportionnal to g, is deduced form the measurement of the atomic state at the output of the interferometer.
Mobility
Since the gravimeter has been completed, its mobility has allowed us to participate to two Key Comparisons organized under the rules of the CIPM : at the BIPM, in Sèvres, in 2009, and at Luxembourg in 2013. These comparisons have conforted our accuracy budget. In between these international events, we have participated to three other comparisons, a European comparison at Luxembourg and two in our laboratory at LNE Trappes, and we have also performed first atom interferometry measurments at the Laboratoire Souterrain à Bas Bruit, in Rustrel (France) in the frame of the MIGA project. We have obtained there an excellent sensitivity of 10-8 g at 1 second without vibration isolation platform.

- The whole gravimeter setup during a move
- Front, the magnetically shielded drop chamber. Back, the laser system and control electronics. Dimensions in cm.
Continuous long measurement
The following picture shows a record of the signal of the gravimeter during one month of continuous measurements in 2015. This possibility of measuring gravity variations continuously is a strength of the atom gravimeter, and will be particularly useful for the science runs of the watt balance.

- Continuous gravity measurement
- Top: gravity variations measured by the gravimeter during one month of 2015. Bottom: the residues, difference between the CAG signal and the superconducting gravimeter signal is displayed in grey
Sensitivity measurement
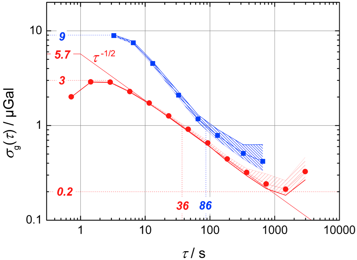
The sensitivity of our measurement is limited by parasitic vibrations. We have developed an original technique of vibration rejection, based on the combination of a passive isolation platform and a post-correction of the residual ground vibration noise obtained thanks to an independant measurement of a low noise seismometer. This technique allowed us to reach a sensitivity of 5,7 × 10-9 g at 1s, for a moderate free fall distance of the atoms of only 20 cm. This level of performance allows our instrument to resolve tiny variations of g, such as due to Earth tides, as well as low frequency ground vibrations, such as sismic waves due to an earthquake. A long term sensitivity exemple is shown on the second Allan deviation in gray representing the analyse for the one month measurement, our sensitivity flickers between 2 × 10-10 g and 4 × 10-10 g after 3000 s of measurement. The analyse made on the two days represented in black reach 6 × 10-11 g.
Improvement of the accuracy, current studies
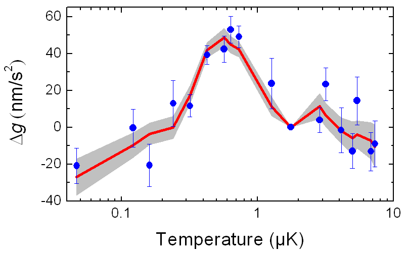
The CAG accuracy is limited by the wavefronts distortions of the lasers used to drive the interferometer. To study this effect, we implemented a colder atomic source obtained with a dipolar trap to reduce the ballistic expansion of the atomic cloud.
We realized differential g measurements for temperatures ranging from 10 µK down to 50 nK. Results are displayed in the following picture. A model of the CAG allows us to calculate the impact of the wavefront aberrations onto the basis of Zernike polynomials. For each polynom the effect is calculated from 0 K to 10 µK and the results are adjusted with the measurements. The Raman wavefront is then reconstructed and the g value at 0 K extrapolated. This study allowed us to improve by a factor 3 the uncertainty associated to the wavefront aberration bias. Since then, the total accuracy of the instrument is 2 × 10-9g.
This study, which was recently published (R. Karcher et al New J. Phys 20 (2018) 113041), clearly demonstrates the benefit brought by ultracold atoms to the study of free falling atom interferometers. The uncertainty of the studied bias can be improved further freezing even more the atom source.
Publications
R. Karcher, F. Pereira dos Santos, S. Merlet
"Impact of direct-digital-synthesizer finite resolution on atom gravimeters"
Phys. Rev. A 101, 043622 (2020)
Copyright 2020 by the American Physical Society
R. Karcher, A. Imanaliev, S. Merlet, F. Pereira dos Santos
“Improving the accuracy of atom interferometers with ultracold sources”
New J. Phys. 20, 113041 (2018)
A. Trimeche, M. Langlois, S. Merlet, and F. Pereira Dos Santos
“Active Control of Laser Wavefronts in Atom Interferometers”
Phys. Rev. Applied 7, 034016 (2017)
Copyright 2017 by the American Physical Society
B. Cheng, P. Gillot, S. Merlet, F. Pereira Dos Santos
“Coherent population trapping in a Raman atom interferometer”
Phys. Rev. A 93, 063621 (2016)
Copyright 2016 by the American Physical Society
P. Gillot, B. Cheng, A. Imanaliev, S. Merlet, F. Pereira Dos Santos
“The LNE-SYRTE cold atom gravimeter”
Proceedings of the 30th EFTF, York, United Kingdom, 4th-7th April 2016
B. Fang, I. Dutta, P. Gillot, D. Savoie, J. Lautier, B. Cheng, C. L Garrido Alzar, R. Geiger, S. Merlet, F. Pereira Dos Santos, A. Landragin
“Metrology with Atom Interferometry: Inertial Sensors from Laboratory to Field Applications”
Proceedings of the 7th Symposium on Frequency Standards and Metrology, Postdam (Germany), 12-16 Oct. 2015,
Journal of Physics: Conference Series 723 (2016) 012049.
P. Gillot, B. Cheng, S. Merlet, F. Pereira Dos Santos
“Limits to the symmetry of a Mach-Zehnder-type atom interferometer”
Phys. Rev. A 93, 013609 (2016)
Copyright 2016 by the American Physical Society
B. Cheng, P. Gillot, S. Merlet, F. Pereira Dos Santos
“Influence of chirping the Raman lasers in an atom gravimeter: Phase shifts due to the Raman light shift and to the finite speed of light”
Phys. Rev. A 92, 063617 (2015)
Copyright 2015 by the American Physical Society
S. Merlet, P. Gillot, T. Farah, Q. Bodart, J. Le Gouët, P. Cheinet, C. Guerlin, A. Louchet-Chauvet, N. Malossi, A. Kopaev, O. Francis, G. d’Agostino, M. Diament, G. Genevès, A. Clairon, A. Landragin et F. Pereira dos Santos
"Détermination de l’accélération de la pesanteur pour la balance du watt du LNE"
Revue Française de Métrologie 36, 11-27 (2014)
J. Lautier, L. Volodimer, T. Hardin, S. Merlet, M. Lours, F. Pereira Dos Santos, and A. Landragin
"Hybridizing matter-wave and classical accelerometers"
Appl. Phys. Lett. 105, 144102 (2014)
Copyright 2014 American Institute of Physics. This article may be downloaded for personal use only. Any other use requires prior permission of the author and the American Institute of Physics.
S. Merlet, L. Volodimer, M. Lours, F. Pereira Dos Santos
"A simple laser system for atom interferometry"
Applied Physics B 117, 749 (2014)
T. Farah, P. Gillot, B. Cheng, A. Landragin, S. Merlet, F. Pereira Dos Santos
"Effective velocity distribution in an atom gravimeter: effect of the convolution with the response of the detection"
Phys. Rev. A 90, 023606 (2014)
Copyright 2014 by the American Physical Society
P. Gillot, O. Francis, A. Landragin, F. Pereira Dos Santos, S. Merlet
"Stability comparison of two absolute gravimeters: optical versus atomic interferometers"
Metrologia 51, L15-L17 (2014)
T. Farah, C. Guerlin, A. Landragin, Ph. Bouyer, S. Gaffet, F. Pereira Dos Santos and S. Merlet
"Underground operation at best sensitivity of the mobile LNE-SYRTE Cold Atom Gravimeter"
Gyroscopy and Navigation 5, 266 (2014)
O. Francis, et al.
"The European Comparison of Absolute Gravimeters 2011 (ECAG-2011) in Walferdange, Luxembourg: results and recommendations"
Metrologia 50, 257-268 (2013)
Z. Jiang, et al.
"The 8th International Comparison of Absolute Gravimeters 2009: the first Key Comparison (CCM.G-K1) in the field of absolute gravimetry"
Metrologia 49, 666-684 (2012)
G. D’Agostino,S. Merlet, A. Landragin and F. Pereira Dos Santos
"Perturbations of the local gravity field due to mass distribution on precise measuring instruments: a numerical method applied to a cold atom gravimeter"
Metrologia 48, 299-305 (2011)
A. Louchet-Chauvet, T. Farah, Q. Bodart, A. Clairon, A. Landragin, S. Merlet and F. Pereira Dos Santos
"The influence of transverse motion within an atomic gravimeter"
New Journal of Physics 13, 065025 (2011)
A. Louchet-Chauvet, S. Merlet, Q. Bodart, A. Landragin, F. Pereira Dos Santos, H. Baumann, G. D’Agostino and C. Origlia
"Comparison of 3 absolute gravimeters based on different methods for the e-MASS project"
IEEE Trans. Instr. Meas. 60, 2527-2532 (2011)
©2011 IEEE. Personal use of this material is permitted. However, permission to reprint/republish this material for advertising or promotional purposes or for creating new collective works for resale or redistribution to servers or lists, or to reuse any copyrighted component of this work in other works must be obtained from the IEEE.
S. Merlet, Q. Bodart, N. Malossi, A. Landragin, F. Pereira Dos Santos, O. Gitlein, L. Timmen
"Comparison between two mobile absolute gravimeters: optical versus atomic interferometers"
Metrologia 47, L9-L11 (2010), arXiv:1005.0357
Q. Bodart, S. Merlet, N. malossi, F. Pereira dos Santos, P. Bouyer, and A. Landragin
"A cold atom pyramidal gravimeter with a single laser beam"
Applied Physics Letters 96, 134101 (2010)
Copyright 2010 American Institute of Physics. This article may be downloaded for personal use only. Any other use requires prior permission of the author and the American Institute of Physics. The article may be found at http://link.aip.org/link/?APL/96/134101 .
N. Malossi, Q. Bodart, S. Merlet, T. Lévèque, A. Landragin, and F. Pereira Dos Santos
"Double diffraction in an atomic gravimeter"
Physical Review A 81, 013617, (2010)
Copyright 2010 by the American Physical Society)
J. Le Gouët, J. Kim, C. Bourassin-Bouchet, M. Lours, A. Landragin, F. Pereira Dos Santos
"Wide bandwidth phase-locked diode laser with an intra-cavity electro-optic modulator"
Opt. Commun., 282, 977–980, (2009) arXiv:0809.3763)
S. Merlet, J. Le Gouët, Q. Bodart, A. Clairon, A. Landragin, F. Pereira Dos Santos, P. Rouchon
"Operating an atom interferometer beyond its linear range"
Metrologia 46, 87–94,arXiv:0806.0164 (2009))
A. Gauguet, T. E. Mehlstäubler, T. Lévèque, J. Le Gouët, W. Chaibi, B. Canuel, A. Clairon, F. Pereira Dos Santos, et A. Landragin
"Off-resonant Raman transition impact in an atom interferometer"
Phys.Rev. A 78, 043615 (2008)
Copyright 2008 by the American Physical Society
J. Le Gouët, T. E. Mehlstäubler, J. Kim, S. Merlet, A. Clairon, A. Landragin, F. Pereira Dos Santos
"Limits in the sensitivity of a compact atomic interferometer"
Appl. Phys. B 92, 133–144, (2008) arXiv:0801.1270
P. Cheinet, B. Canuel, F. Pereira Dos Santos, A. Gauguet, F. Leduc, A. Landragin
"Measurement of the sensitivity function in time-domain atomic interferometer"
IEEE Trans. on Instrum. Meas. 57, 1141, (2008)
©2008 IEEE. Personal use of this material is permitted. However, permission to reprint/republish this material for advertising or promotional purposes or for creating new collective works for resale or redistribution to servers or lists, or to reuse any copyrighted component of this work in other works must be obtained from the IEEE.
F. Pereira Dos Santos, J. Le Goüet, T. E. Mehlstäubler, S. Merlet, D. Holleville, A. Clairon, A. Landragin
"Gravimètre à atomes froids "
Revue Française de Métrologie n°13, Vol 2008-1, 33-40, (2008)
J. Le Gouët, P. Cheinet, J. Kim, D. Holleville, A. Clairon, A. Landragin, F. Pereira Dos Santos
"Influence of lasers propagation delay on the sensitivity of atom interferometers"
Eur. Phys. J. D. 44, 419-425, (2007) arXiv:0701023
P. Cheinet, F. Pereira Dos Santos , T. Petelski, J. Le Göuet, J. Kim, K.T. Therkildsen, A. Clairon and A. Landragin
"Compact laser system for atom interferometry"
Appl. Phys. B 84, 643, (2006) arXiv:0510261







