16 janvier 2021
Principe de fonctionnement
Le gravimètre absolu repose sur des techniques d’interférométrie atomique avec des atomes froids. Dans un premier temps, quelques 108 atomes sont capturés dans un piège magnéto-optique. Les atomes sont refroidis à une température de l’ordre du µK, avant d’être relâchés. Pendant leur chute libre, ils sont soumis à une série de trois impulsions laser, qui séparent et recombinent les paquets d’onde atomique. Finalement, le déphasage entre les deux bras de l’interféromètre, qui est proportionnel à g, est déduit de la mesure de l’état atomique en sortie de l’interféromètre.
Mobilité
Depuis la fin de sa réalisation, la mobilité du gravimètre nous a permis de participer aux deux comparaisons clef organisées sous l’égide du CIPM : au BIPM, à Sèvres, en 2009 puis au Luxembourg en 2013. Ces comparaisons ont conforté l’exactitude annoncée du gravimètre. Entre ces évènements internationaux, nous avons participé à trois autres comparaisons dont une comparaison européenne au Luxembourg et deux dans notre laboratoire au LNE Trappes et nous avons également effectué les premières mesures d’interféromètre atomique au Laboratoire Souterrain à Bas Bruit à Rustrel, dans le cadre de l’Equipex MIGA. Nous y avons obtenu une sensibilité de 10-8 g en une seconde de mesure sans plateforme d’isolation.

- Gravimètre atomique complet lors d’un déplacement
- Au premier plan, le gravimètre dans ses blindages ; au second plan, le banc optique et l’électronique de contrôle. Les dimensions sont indiquées en cm.
Mesures longues en continu
La figure suivante présente les fluctuations du signal mesurées par le gravimètre durant un mois de mesures en continu, en 2015. Cette possibilité de mesurer les variations de gravité de manière absolue en continu est un point fort du dispositif et est particulièrement utile pour les sessions de mesure de la balance du watt.

- Mesure continue de la variation de l’accélération de la pesanteur
- Haut : Fluctuations de la mesure de g enregistrées par le gravimètre durant un mois en 2015. Bas : Le résidu, différence du signal du CAG et du signal du gravimètre supraconducteur iGrav est représenté en gris.
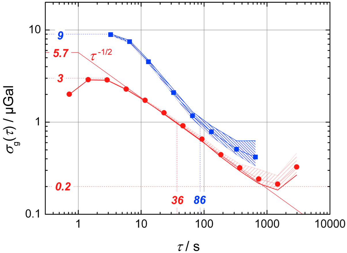
Sensibilité de mesure
La sensibilité de notre instrument est limitée par les vibrations parasites. Nous avons mis au point une technique de réjection des vibrations originale, qui combine une isolation passive et une correction du bruit d’accélération du sol à l’aide d’une mesure indépendante réalisée avec un sismomètre très bas bruit. Cette technique nous permet d’atteindre une sensibilité de 5,7 × 10-9 g sur une seconde, soit près d’un ordre de grandeur de mieux que ne les permettent les gravimètres absolus classiques et ce en dépit d’une distance de chute des atomes relativement faible (inférieure à 20 cm seulement). Un tel niveau de performances permet à notre gravimètre de résoudre les faibles variations temporelles de g liées aux marées luni-solaires, mais aussi les vibrations du sol liées aux ondes sismiques lors de tremblements de terre. Un exemple de sensibilité long terme correspondant à la mesure d’un mois précédente est représenté en gris sur la seconde figure. La sensibilité « plafonne » entre 2 × 10-10 g et 4 × 10-10 g peu après 3000 s de mesure. L’analyse sur deux jours représentés en noir sur la mesure longue, montre que l’écart type d’Allan descend jusque 6 × 10-11 g
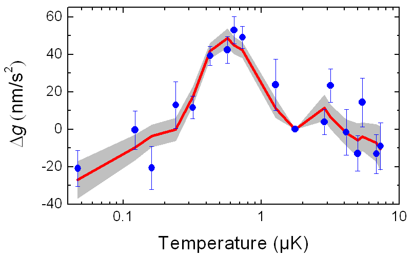
Amélioration de l’exactitude, études actuelles
L’exactitude du CAG est limitée par les défauts de fronts d’ondes des lasers réalisant les séparatrices atomiques. Pour étudier cet effet, nous avons mis en place une source atomique plus froide obtenue par évaporation pour limiter l’expansion balistique du nuage.
Cette source nous a permis de réaliser des mesures de g différentielles pour des températures allant de 10 µK jusque 50 nK. Les résultats sont représentés sur la figure suivante. Une modélisation complète du CAG nous a permis de calculer l’impact des aberrations du front d’onde décomposées sur une base de polynômes de Zernike. L’effet de chaque polynôme a été calculé de 0 K à 10 µK et les résultats de mesures ont été ajustés par moindres carrés dans la base. Nous reconstruisons ainsi le front d’onde Raman et extrapolons la valeur de g à 0 K. Cette étude nous a permis d’améliorer d’un facteur 3 l’incertitude associée au biais des aberrations optiques. L’exactitude totale de l’instrument est depuis de 2 × 10-9g.
Cette étude récemment publiée (R. Karcher et al New J. Phys 20 (2018) 113041) montre l’intérêt d’utiliser des atomes ultra froids dans les interféromètres atomique en chute libre. En refroidissant plus encore la source, nous comptons améliorer notre budget d’incertitude.
Publications
R. Karcher, F. Pereira dos Santos, S. Merlet
"Impact of direct-digital-synthesizer finite resolution on atom gravimeters"
Phys. Rev. A 101, 043622 (2020)
Copyright 2020 by the American Physical Society
R. Karcher, A. Imanaliev, S. Merlet, F. Pereira dos Santos
“Improving the accuracy of atom interferometers with ultracold sources”
New J. Phys. 20, 113041 (2018)
A. Trimeche, M. Langlois, S. Merlet, and F. Pereira Dos Santos
“Active Control of Laser Wavefronts in Atom Interferometers”
Phys. Rev. Applied 7, 034016 (2017)
Copyright 2017 by the American Physical Society
B. Cheng, P. Gillot, S. Merlet, F. Pereira Dos Santos
“Coherent population trapping in a Raman atom interferometer”
Phys. Rev. A 93, 063621 (2016)
Copyright 2016 by the American Physical Society
P. Gillot, B. Cheng, A. Imanaliev, S. Merlet, F. Pereira Dos Santos
“The LNE-SYRTE cold atom gravimeter”
Proceedings of the 30th EFTF, York, United Kingdom, 4th-7th April 2016
B. Fang, I. Dutta, P. Gillot, D. Savoie, J. Lautier, B. Cheng, C. L Garrido Alzar, R. Geiger, S. Merlet, F. Pereira Dos Santos, A. Landragin
“Metrology with Atom Interferometry : Inertial Sensors from Laboratory to Field Applications”
Proceedings of the 7th Symposium on Frequency Standards and Metrology, Postdam (Germany), 12-16 Oct. 2015,
Journal of Physics : Conference Series 723 (2016) 012049.
P. Gillot, B. Cheng, S. Merlet, F. Pereira Dos Santos
“Limits to the symmetry of a Mach-Zehnder-type atom interferometer”
Phys. Rev. A 93, 013609 (2016)
Copyright 2016 by the American Physical Society
B. Cheng, P. Gillot, S. Merlet, F. Pereira Dos Santos
“Influence of chirping the Raman lasers in an atom gravimeter : Phase shifts due to the Raman light shift and to the finite speed of light”
Phys. Rev. A 92, 063617 (2015)
Copyright 2015 by the American Physical Society
S. Merlet, P. Gillot, T. Farah, Q. Bodart, J. Le Gouët, P. Cheinet, C. Guerlin, A. Louchet-Chauvet, N. Malossi, A. Kopaev, O. Francis, G. d’Agostino, M. Diament, G. Genevès, A. Clairon, A. Landragin et F. Pereira dos Santos
"Détermination de l’accélération de la pesanteur pour la balance du watt du LNE"
Revue Française de Métrologie 36, 11-27 (2014)
J. Lautier, L. Volodimer, T. Hardin, S. Merlet, M. Lours, F. Pereira Dos Santos, and A. Landragin
"Hybridizing matter-wave and classical accelerometers"
Appl. Phys. Lett. 105, 144102 (2014)
Copyright 2014 American Institute of Physics. This article may be downloaded for personal use only. Any other use requires prior permission of the author and the American Institute of Physics.
S. Merlet, L. Volodimer, M. Lours, F. Pereira Dos Santos
"A simple laser system for atom interferometry"
Applied Physics B 117, 749 (2014)
T. Farah, P. Gillot, B. Cheng, A. Landragin, S. Merlet, F. Pereira Dos Santos
"Effective velocity distribution in an atom gravimeter : effect of the convolution with the response of the detection"
Phys. Rev. A 90, 023606 (2014)
Copyright 2014 by the American Physical Society
P. Gillot, O. Francis, A. Landragin, F. Pereira Dos Santos, S. Merlet
"Stability comparison of two absolute gravimeters : optical versus atomic interferometers"
Metrologia 51, L15-L17 (2014)
T. Farah, C. Guerlin, A. Landragin, Ph. Bouyer, S. Gaffet, F. Pereira Dos Santos and S. Merlet
"Underground operation at best sensitivity of the mobile LNE-SYRTE Cold Atom Gravimeter"
Gyroscopy and Navigation 5, 266 (2014)
O. Francis, et al.
"The European Comparison of Absolute Gravimeters 2011 (ECAG-2011) in Walferdange, Luxembourg : results and recommendations"
Metrologia 50, 257-268 (2013)
Z. Jiang, et al.
"The 8th International Comparison of Absolute Gravimeters 2009 : the first Key Comparison (CCM.G-K1) in the field of absolute gravimetry"
Metrologia 49, 666-684 (2012)
G. D’Agostino,S. Merlet, A. Landragin and F. Pereira Dos Santos
"Perturbations of the local gravity field due to mass distribution on precise measuring instruments : a numerical method applied to a cold atom gravimeter"
Metrologia 48, 299-305 (2011)
A. Louchet-Chauvet, T. Farah, Q. Bodart, A. Clairon, A. Landragin, S. Merlet and F. Pereira Dos Santos
"The influence of transverse motion within an atomic gravimeter"
New Journal of Physics 13, 065025 (2011)
A. Louchet-Chauvet, S. Merlet, Q. Bodart, A. Landragin, F. Pereira Dos Santos, H. Baumann, G. D’Agostino and C. Origlia
"Comparison of 3 absolute gravimeters based on different methods for the e-MASS project"
IEEE Trans. Instr. Meas. 60, 2527-2532 (2011)
©2011 IEEE. Personal use of this material is permitted. However, permission to reprint/republish this material for advertising or promotional purposes or for creating new collective works for resale or redistribution to servers or lists, or to reuse any copyrighted component of this work in other works must be obtained from the IEEE.
S. Merlet, Q. Bodart, N. Malossi, A. Landragin, F. Pereira Dos Santos, O. Gitlein, L. Timmen
"Comparison between two mobile absolute gravimeters : optical versus atomic interferometers"
Metrologia 47, L9-L11 (2010), arXiv:1005.0357
Q. Bodart, S. Merlet, N. malossi, F. Pereira dos Santos, P. Bouyer, and A. Landragin
"A cold atom pyramidal gravimeter with a single laser beam"
Applied Physics Letters 96, 134101 (2010)
Copyright 2010 American Institute of Physics. This article may be downloaded for personal use only. Any other use requires prior permission of the author and the American Institute of Physics. The article may be found at http://link.aip.org/link/?APL/96/134101 .
N. Malossi, Q. Bodart, S. Merlet, T. Lévèque, A. Landragin, and F. Pereira Dos Santos
"Double diffraction in an atomic gravimeter"
Physical Review A 81, 013617, (2010)
Copyright 2010 by the American Physical Society)
J. Le Gouët, J. Kim, C. Bourassin-Bouchet, M. Lours, A. Landragin, F. Pereira Dos Santos
"Wide bandwidth phase-locked diode laser with an intra-cavity electro-optic modulator"
Opt. Commun., 282, 977–980, (2009) arXiv:0809.3763)
S. Merlet, J. Le Gouët, Q. Bodart, A. Clairon, A. Landragin, F. Pereira Dos Santos, P. Rouchon
"Operating an atom interferometer beyond its linear range"
Metrologia 46, 87–94,arXiv:0806.0164 (2009))
A. Gauguet, T. E. Mehlstäubler, T. Lévèque, J. Le Gouët, W. Chaibi, B. Canuel, A. Clairon, F. Pereira Dos Santos, et A. Landragin
"Off-resonant Raman transition impact in an atom interferometer"
Phys.Rev. A 78, 043615 (2008)
Copyright 2008 by the American Physical Society
J. Le Gouët, T. E. Mehlstäubler, J. Kim, S. Merlet, A. Clairon, A. Landragin, F. Pereira Dos Santos
"Limits in the sensitivity of a compact atomic interferometer"
Appl. Phys. B 92, 133–144, (2008) arXiv:0801.1270
P. Cheinet, B. Canuel, F. Pereira Dos Santos, A. Gauguet, F. Leduc, A. Landragin
"Measurement of the sensitivity function in time-domain atomic interferometer"
IEEE Trans. on Instrum. Meas. 57, 1141, (2008)
©2008 IEEE. Personal use of this material is permitted. However, permission to reprint/republish this material for advertising or promotional purposes or for creating new collective works for resale or redistribution to servers or lists, or to reuse any copyrighted component of this work in other works must be obtained from the IEEE.
F. Pereira Dos Santos, J. Le Goüet, T. E. Mehlstäubler, S. Merlet, D. Holleville, A. Clairon, A. Landragin
"Gravimètre à atomes froids "
Revue Française de Métrologie n°13, Vol 2008-1, 33-40, (2008)
J. Le Gouët, P. Cheinet, J. Kim, D. Holleville, A. Clairon, A. Landragin, F. Pereira Dos Santos
"Influence of lasers propagation delay on the sensitivity of atom interferometers"
Eur. Phys. J. D. 44, 419-425, (2007) arXiv:0701023
P. Cheinet, F. Pereira Dos Santos , T. Petelski, J. Le Göuet, J. Kim, K.T. Therkildsen, A. Clairon and A. Landragin
"Compact laser system for atom interferometry"
Appl. Phys. B 84, 643, (2006) arXiv:0510261







