22 septembre 2024
Force de Casimir et Gravitation à courte distance
Objectif du projet
Le but de ce projet est de réaliser des mesures d’interactions à faible distance en utilisant des techniques d’interférométrie atomique. Cette expérience permettra de réaliser des mesures précises de gravité à courte distance, à la recherche d’éventuelles déviations aux lois connues. Ce type de violation est lié aux possibles nouvelles interactions de type gravitationnel avec des portées de l’ordre du micron, postulées dans nombreuses théories d’unification. La mesure de ce type d’interactions est une des voies possibles pour l’observation des premiers signaux expérimentaux de la physique nouvelle au-delà du modèle standard.
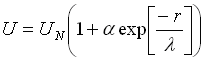
Le projet FORCA-G se propose de fournir des contraintes (ou de mettre en évidence une violation) dans le domaine de l’infiniment petit, en ciblant la zone d’intérêt particulier autour du micron. Un modèle phénoménologique simple décrit une éventuelle nouvelle interaction comme une modification du potentiel newtonien par un terme de type Yukawa :
où UN est le potentiel Newtonien, et α et λ sont l’amplitude et la portée de la nouvelle interaction. Les objectifs de ce projet sont l’amélioration des sensibilités actuelles sur α dans la gamme des portées allant de 100 nm à 10 μm, et une mesure précise (ainsi qu’une bonne annulation) du potentiel Casimir-Polder entre un atome et une surface. Ce dernier effet, qui constitue une des limitations principales pour la mesure de nouvelles interactions, mérite en effet d’être étudié pour lui-même : il s’agit en fait de la manifestation la plus accessible à l’échelle macroscopique des fluctuations quantiques du vide.
Système considéré
Nous avons dans un premier temps démontré la réalisation d’un interféromètre atomique piégé dans un réseau vertical loin de toute surface. Le principe de l’expérience repose sur la proposition théorique de P.Wolf et al, Phys Rev A 75, 063608 (2007). Notre système est constitué d’atomes froids de 87Rb refroidis par laser et piégés dans la bande fondamentale d’un réseau optique 1D vertical. La différence de potentiel entre deux puits adjacents du réseau définit la fréquence de Bloch du système νB = mag λl/2h où λl est la longueur d’onde du réseau, ma la masse atomique, g l’accélération de la pesanteur terrestre et h la constante de Planck. Les états propres de ce système |Wm> appelés états de Wannier-Stark (WS) forment une échelle d’états localisés séparés en énergie par la fréquence de Bloch et indexés par le nombre quantique m définissant le site du réseau contenant le centre de la fonction d’onde spatiale.
Principe de l’interféromètre
Des transitions Raman contrapropagantes impliquant les deux états hyperfins |g>=|52S1/2,F=1,mF=0> et |e>=|52S1/2,F=2,mF=0> nous permettent d’induire des transitions entre états de WS séparés par un nombre Δm de sites du réseau : |g,Wm> -> |e,Wm+Δm> aux fréquences Raman : νR =νHFS +/-Δm x νB où νHFS est la fréquence hyperfine.

- Spectroscopie Raman des états de Wannier Stark
- Spectre Raman de la probabilité de transition entre |g> et |e> en fonction de la fréquence Raman νR. La présence de transitions à des fréquences Raman égales à la fréquence hyperfine plus un nombre entier de fréquences de Bloch (νB = 569 Hz pour notre système) sont la signature d’un déplacement des atomes entre les sites du réseau.
Un interféromètre de type Ramsey effectué sur une transition impliquant deux sites du réseau nous permet de mesurer la fréquence de Bloch du système. Nous avons démontré une sensibilité relative sur la mesure de la fréquence de Bloch de l’ordre de 4x10-6 à 1s. Un tel résultat permettrait, une fois les atomes sélectionnés dans un seul puits du réseau et placés à une distance de l’ordre de quelques micromètres du miroir définissant l’onde stationnaire, de mesurer la force de Casimir Polder avec une incertitude statistique de l’ordre du pour mille en un temps de mesure de seulement quelques minutes.

- Franges de Ramsey
- Franges de Ramsey sur la transition Δm = - 3
pour un temps d’évolution libre de T = 150 ms.
Le contraste des franges est de 60%.
Un long temps de cohérence, résultats récents
Nous avons récemment installé un piège dipolaire croisé pour augmenter le nombre d’atomes par puits de la dizaine au millier, à l’aide du refroidissement évaporatif. Travailler avec des échantillons plus denses et des nuages de plus petite taille nous permet de réduire les inhomogénéités de couplage et de phase dans l’interféromètre.
Dans le piège dipolaire, et pour des densités de l’ordre de 10 12 at/cm3, nous observons une évolution inattendue, non momotone, du contraste des interféromètres symétrisés en fonction du nombre d’atomes. Nous interprétons ce phénomène comme une compétition subtile entre la technique de l’écho de spin et d’un mécanisme de synchronisation lié aux interactions d’échange et à l’effet de la rotation des spins identiques (ISRE). Dans les horloges à atomes piégés, l’ISRE, qui est liée à l’indiscernabilité des particules, peut augmenter le temps de cohérence via le mécanisme d’autosynchronisation des spins jusqu’à plusieurs dizaines de secondes ! Deutsch et al PRL 105, 020401 (2010)]. Combiner cet effet avec la technique de l’écho de spin mène à une dynamique de spins complexes comme nous l’avons montré dans [Solaro et al. Phys. Rev. Lett. 117, 163003 (2016)].

- Evolution du contraste
- Evolution du contraste en fonction de la densité atomique pour des interféromètres de type Ramsey classique ou symétrisés
Effets des interactions
Dans notre schéma d’interféromètres où les atomes sont piégés dans le réseau, les deux paquets d’onde partiels, qui évoluent dans les deux bras de l’interféromètre, ne se recouvrent pas parfaitement, et nous trouvons un effet de l’ISRE plus faible. Nous étudions actuellement la dépendance de la synchronisation des spins à ce recouvrement. Nos premiers signaux de spectroscopie Ramsey montrent de larges déplacements de la fréquence de Bloch mesurée en fonction de la densité, dont l’analyse nécessite un traitement théorique au delà d’un modèle simple de champ moyen. Aux basses températures, les interactions interatomiques sont gouvernées par la diffusion en onde s et les effets de statistique quantique jouent un rôle important. Cela a par exemple motivé le developpement d’horloges et de capteurs atomiques basé sur des atomes fermioniques : comme le principe de Pauli empêche deux fermions identiques de collisionner, on s’attend à ce que les décalages de fréquence liés aux interactions soient supprimés. Cependant, l’absence de déplacement collisisonnel dépend fortement de l’indiscernabilité des atomes et donc du couplage avec la sonde. En effet, de faibles inhomogénéités d’amplitude ou de phase de la sonde rendent les fermions discernables et donnent lieu à de nouveaux déplacements collisionnels [Campbell et al Science 324,360 (2009), Gibble PRL 103, 113202 (2009)]. Dans notre dispositif basé sur des atomes bosoniques de Rb piégés dans un réseau, le contrôle cohérent de la séparation ou du recouvrement entre les deux paquets d’onde grâce aux transitions Raman apparaît comme un outil puissant pour ajuster les interactions atomes-atomes, et notre expérience fournit donc un instrument bien adapté à leur étude.
Mesures de forces à faible distance
Dès lors que le potentiel de Casimir Polder peut être précisément modélisé, le déphasage de l’interféromètre peut être corrigé de cet effet, ce qui permet alors de mesurer la force d’attraction gravitationnelle entre l’atome et le miroir, et de réaliser un test d’une éventuelle déviation à la loi de Newton. Pour des distances de l’ordre de 10 microns, il est possible de corriger le potentiel de Casimir Polder au niveau du %, et donc de s’affranchir de cet effet à un niveau comparable à l’incertitude de la mesure. La mesure corrigée révèle alors la présence d’une interaction nouvelle, ou du moins permet de borner son amplitude. Lorsqu’on s’approche davantage de la surface, l’effet de ce potentiel domine très largement les effets gravitationnels, et il devient nécessaire de corriger le potentiel de Casimir Polder avec une précision que les modèles actuels ne permettent pas d’atteindre. Il est cependant possible de s’affranchir de ce potentiel dans une large mesure en réalisant une mesure différentielle à l’aide de deux isotopes différents (85Rb et 87Rb), pour lesquels les effets de Casimir sont pratiquement identiques, aux effets isotopiques près. Nous prévoyons d’améliorer significativement la qualité de ces tests à des distances de 100 nm à 10 microns, de 2 à 3 ordres de grandeur.

- Miroirs sous vide
- Plusieurs miroirs ont été installés dans l’enceinte à vide, dans un support déplaçable
Pour réaliser de telles mesures, nous avons installé des miroirs sous vide dans une enceinte à vide placée au dessus de l’enceinte dans laquelle les atomes ultrafroids sont produits. Nous transportons maintenant les atomes grâce à une onde stationnaire en mouvement sur la trentaine de cm qui sépare le piège dipolaire des miroirs. Nous réalisons maintenant des mesures des forces d’interaction en fonction de la distance entre les atomes et la surface d’un des miroirs.
Mesure de la force de Casimir Polder
Nous avons optimisé la sensibilité de notre capteur de force à proximité de la surface, où des effets nouveaux perturbent la mesure de force : décohérence liée à la lumière diffusée sur la surface, forces parasites liés aux atoms adsorbés sur la surface ... Nous avons atteint une sensibilité sans égale pour une mesure de force locale de 340 quectoNewton à 1s, et une stabilité de 4 qN après moyennage (1 qN=10-30N). Avec un tel niveau de performance, nous avons pu mettre en évidence la force de Casimir Polder, en dépit de sa très faible amplitude.
Publications
Yann Balland, Luc Absil, Franck Pereira dos Santos
"Quectonewton local force sensor"
Phys. Rev. Lett. 133, 113403 (2024)
Luc Absil, Yann Balland, Franck Pereira dos Santos
"Long-range temperature-controlled transport of ultra-cold atoms with an accelerated lattice"
New J. Phys. 25, 073010 (2023)
Alexis Bonnin, Cyrille Solaro, Xavier Alauze, Franck Pereira dos Santos
“Magic density in a self-rephasing ensemble of trapped ultracold atoms”
Phys. Rev. A 99, 023627 (2019)
Xavier Alauze, Alexis Bonnin, Cyrille Solaro, Franck Pereira Dos Santos
“A trapped ultracold atom force sensor with a μm-scale spatial resolution”
New J. Phys. 20, 083014 (2018)
C. Solaro, A. Bonnin, F. Combes, M. Lopez, X. Alauze, J.-N. Fuchs, F. Piéchon and F. Pereira Dos Santos
“Competition between Spin Echo and Spin Self-Rephasing
in a Trapped Atom Interferometer”
Phys. Rev. Lett. 117, 163003 (2016)
Copyright 2016 by the American Physical Society
A. Hilico, C. Solaro, M. -K. Zhou, M. Lopez, and F. Pereira dos Santos
“Contrast decay in a trapped-atom interferometer”
Phys. Rev. A 91, 053616 (2015)
Copyright 2015 by the American Physical Society
M-K. Zhou, B. Pelle, A. Hilico, F. Pereira dos Santos
"Atomic multiwave interferometer in an optical lattice"
Phys Rev A 88, 013604 (2013)
Copyright 2013 by the American Physical Society
B. Pelle, A. Hilico, G. Tackmann, Q. Beaufils, F. Pereira dos Santos
"State labelling Wannier-Stark atomic interferometers"
Phys Rev A 87, 023601 (2013)
G. Tackmann, B. Pelle, A. Hilico, Q. Beaufils, F. Pereira Dos Santos
"Raman laser spectroscopy of Wannier Stark states"
Phys. Rev. A 84, 063422 (2011)
Copyright 2011 by the American Physical Society
R. Messina, S. Pelisson, M.-C. Angonin, and P. Wolf
"Atomic states in optical traps near a planar surface"
Physical Review A 83, 052111, (2011)
Copyright 2011 by the American Physical Society
Q. Beaufils, G. Tackmann, X. Wang, B. Pelle, S. Pelisson, P. Wolf and F. Pereira dos Santos
"Laser controlled tunneling in a vertical optical lattice"
Physical Review Letters 106, 213002 (2011)
Copyright 2011 by the American Physical Society
F. Pereira Dos Santos, P. Wolf, A. Landragin, M.-C. Angonin, P. Lemonde, S. Bize, And A. Clairon
"Measurement of short range forces using cold atoms"
Proceeding of the 7th International Symposium on Frequency Standards and Metrology, ed. by L. Maleki (World scientific) p44-52, (2009)





